Giải Bài Tập Giải Tích 12 – Nguyễn Vũ Thanh








DANH SÁCH CÁC CHƯƠNG LIÊN QUAN: (NHẤP VÀO ĐỂ XEM CHI TIẾT)
Giải Bài Tập Giải Tích 12 – Nguyễn Vũ Thanh
CHƯƠNG I. ỨNG DỤNG ĐẠO HÀM ĐỂ KHẢO SÁT VÀ VẼ ĐỒ THỊ CỦA HÀM SỐ
- BÀI 1. SỰ ĐỒNG BIẾN, NGHỊCH BIẾN CỦA HÀM SỐ
- BÀI 2. CỰC TRỊ CỦA HÀM SỐ
- BÀI 3. GIÁ TRỊ LỚN NHẤT VÀ GIÁ TRỊ NHỎ NHẤT CỦA HÀM SỐ
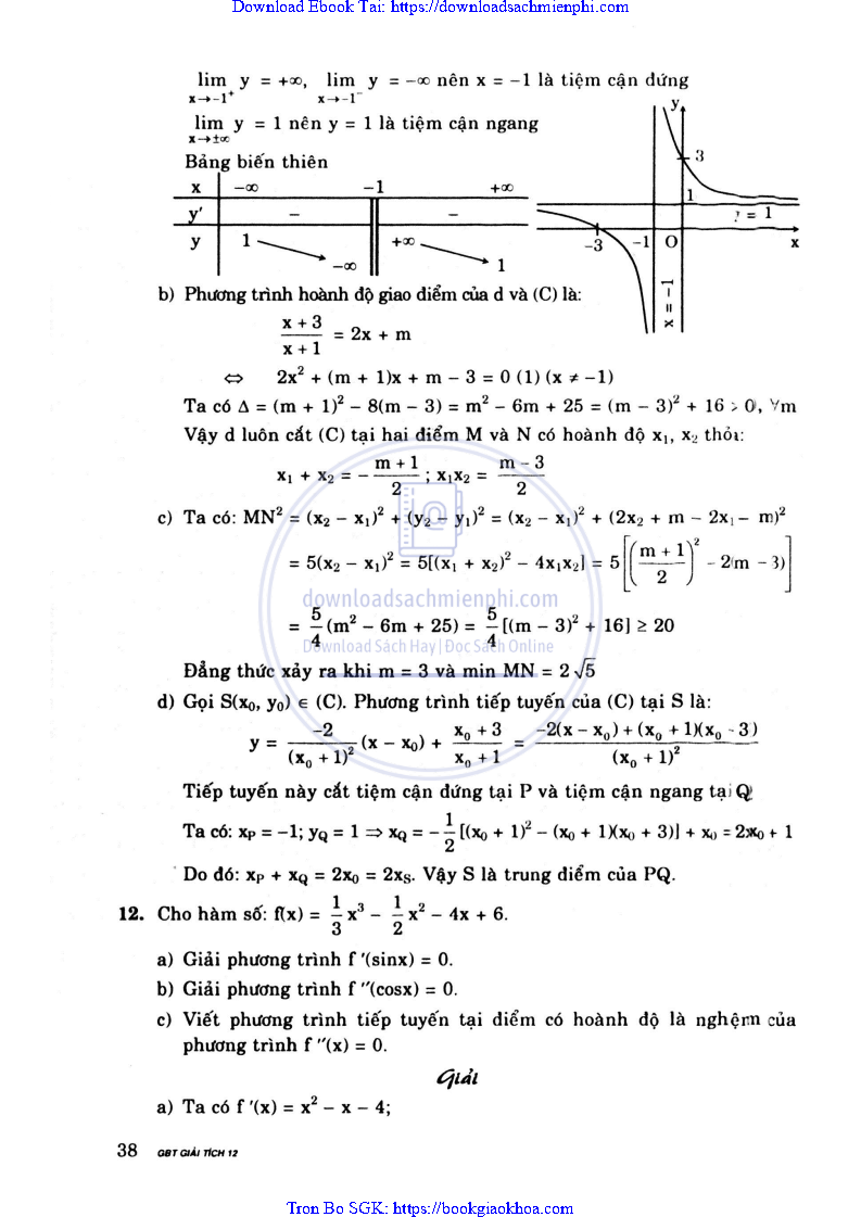
- BÀI 4. ĐƯỜNG TIỆM CẬN
- BÀI 5. KHẢO SÁT SỰ BIẾN THIÊN VÀ VẼ ĐỒ THỊ CỦA HÀM SỐ
- ÔN TẬP CHƯƠNG I
CHƯƠNG II. HÀM SỐ LŨY THỪA, HÀM SỐ MŨ VÀ HÀM SỐ LOGARIT
- BÀI 1. LŨY THỪA
- BÀI 2. HÀM SỐ LŨY THỪA
- BÀI 3. LOGARIT
- BÀI 4. HÀM SỐ MŨ. HÀM SỐ LOGARIT
- BÀI 5. PHƯƠNG TRÌNH MŨ VÀ PHƯƠNG TRÌNH LOGARIT
- BÀI 6. BẤT PHƯƠNG TRÌNH MŨ VÀ BẤT PHƯƠNG TRÌNH LOGARIT
- ÔN TẬP CHƯƠNG II
CHƯƠNG III. NGUYÊN HÀM – TÍCH PHÂN VÀ ỨNG DỤNG
CHƯƠNG IV. SỐ PHỨC
- BÀI 1. SỐ PHỨC
- BÀI 2. CỘNG, TRỪ VÀ NHÂN SỐ PHỨC
- BÀI 3. PHÉP CHIA SỐ PHỨC
- BÀI 4. PHƯƠNG TRÌNH BẬC HAI VỚI HỆ SỐ THỰC
- ÔN TẬP CHƯƠNG IV
- ÔN TẬP CUỐI NĂM
BÀI VIẾT LIÊN QUAN: (NHẤP VÀO ĐỂ XEM CHI TIẾT)
Để Học Tốt Toán 12 – Ngô Long Hậu
Giải Bài Tập Giải Tích 12 Nâng Cao – Nguyễn Vũ Thanh
Giải Bài Tập Giải Tích Lớp 12 Chương Trình Chuẩn – Nguyễn Văn Lộc
Giải Bài Tập Giải Tích Lớp 12 Nâng Cao – Nguyễn Văn Lộc
Giải Bài Tập Hình Học 12 – Nguyễn Vũ Thanh
Giải Bài Tập Hình Học 12 Nâng Cao – Nguyễn Vũ Thanh
Giải Bài Tập Hình Học Lớp 12 Chương Trình Chuẩn – Nguyễn Văn Lộc
Giải Bài Tập Hình Học Lớp 12 Nâng Cao – Nguyễn Văn Lộc
Phân Loại Và Phương Pháp Giải Toán Hình Học Trong Mặt Phẳng – Lê Thị
Hương
Phương Pháp Giải Bài Tập Trắc Nghiệm Toán Tích Phân – Huỳnh Công Thái
Phương Pháp Giải Toán Đại Số Tổ Hợp 12 – Võ Giang Giai
Phương Pháp Giải Toán Giải Tích Tổ Hợp Và Xác Suất – Hà Văn Chương
Phương Pháp Giải Toán Hệ Thức Lượng Trong Tam Giác – Võ Giang Giai
Phương Pháp Giải Toán Hình Giải Tích Trong Không Gian – Trần Đức Huyên
Phương Pháp Giải Toán Hình Học Giải Tích Trong Không Gian – Lê Hồng
Đức
Phương Pháp Giải Toán Hình Học Không Gian Theo Chủ Đề – Trần Minh
Quang
Phương Pháp Giải Toán Lượng Giác – Nguyễn Cam
Phương Pháp Giải Toán Số Phức Và Ứng Dụng – Nguyễn Văn Dũng
Phương Pháp Giải Toán Tích Phân – Lê Hồng Đức
Phương Pháp Giải Toán Trắc Nghiệm Hình Học Giải Tích – Trần Bá Hà
Phương Pháp Giải Toán Tự Luận Hình Học Giải Tích 12 – Trần Thị Vân Anh
Phương Pháp Hàm Số Trong Giải Toán – Lê Xuân Sơn
Phương Pháp Trắc Nghiệm Hình Học Giải Tích 12 – Nguyễn Mộng Hy, Đậu Thế
Cấp
Phương Pháp Và Bài Giải 27 Chủ Đề Toán Hình Không Gian – Trần Minh
Quang

