Giải Bài Tập Hình Học Lớp 12 Nâng Cao – Nguyễn Văn Lộc

















DANH SÁCH CÁC CHƯƠNG LIÊN QUAN: (NHẤP VÀO ĐỂ XEM CHI TIẾT)
Giải Bài Tập Hình Học Lớp 12 Nâng Cao – Nguyễn Văn Lộc
CHƯƠNG I. KHỐI ĐA DIỆN VÀ THỂ TÍCH CỦA CHÚNG
- BÀI 1. KHÁI NIỆM VỀ KHỐI ĐA DIỆN
- BÀI 2. PHÉP ĐỐI XỨNG QUA MẶT PHẲNG VÀ SỰ BẰNG NHAU CỦA CÁC KHỐI ĐA DIỆN
- BÀI 3. PHÉP VỊ TỰ VÀ SỰ ĐỒNG DẠNG CỦA CÁC KHỐI ĐA DIỆN. CÁC KHỐI ĐA DIỆN ĐỀU
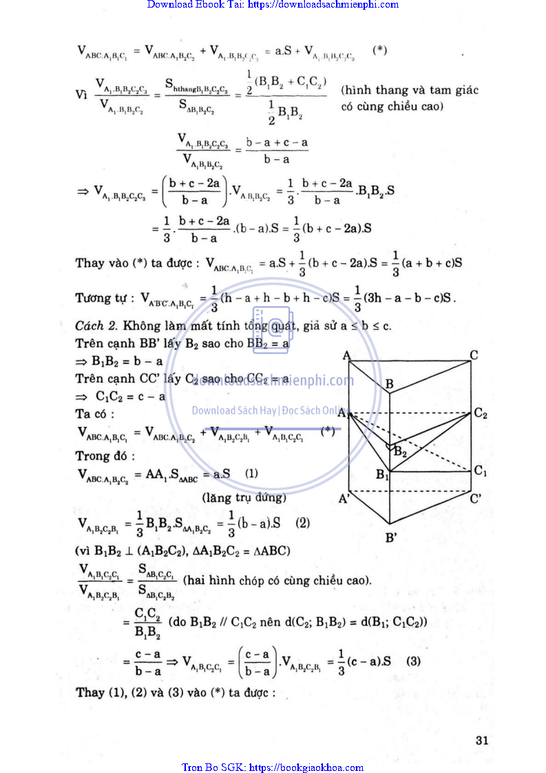
- BÀI 4. THỂ TÍCH CỦA KHỐI ĐA DIỆN
- ÔN TẬP CHƯƠNG I
CHƯƠNG II. MẶT NÓN, MẶT TRỤ, MẶT CẦU
- BÀI 1. MẶT CẦU, KHỐI CẦU
- BÀI 3. MẶT TRỤ, HÌNH TRỤ VÀ KHỐI TRỤ
- BÀI 4. MẶT NÓN, HÌNH NÓN VÀ KHỐI NÓN
- ÔN TẬP CHƯƠNG II
CHƯƠNG III. PHƯƠNG PHÁP TỌA ĐỘ TRONG KHÔNG GIAN
- BÀI 1. HỆ TỌA ĐỘ TRONG KHÔNG GIAN
- BÀI 2. PHƯƠNG TRÌNH MẶT PHẲNG
- BÀI 3. PHƯƠNG TRÌNH ĐƯỜNG THẲNG TRONG KHÔNG GIAN
- ÔN TẬP CHƯƠNG III
- ÔN TẬP CUỐI NĂM
BÀI VIẾT LIÊN QUAN: (NHẤP VÀO ĐỂ XEM CHI TIẾT)
Để Học Tốt Toán 12 – Ngô Long Hậu
Giải Bài Tập Giải Tích 12 – Nguyễn Vũ Thanh
Giải Bài Tập Giải Tích 12 Nâng Cao – Nguyễn Vũ Thanh
Giải Bài Tập Giải Tích Lớp 12 Chương Trình Chuẩn – Nguyễn Văn Lộc
Giải Bài Tập Giải Tích Lớp 12 Nâng Cao – Nguyễn Văn Lộc
Giải Bài Tập Hình Học 12 – Nguyễn Vũ Thanh
Giải Bài Tập Hình Học 12 Nâng Cao – Nguyễn Vũ Thanh
Giải Bài Tập Hình Học Lớp 12 Chương Trình Chuẩn – Nguyễn Văn Lộc
Giải Bài Tập Hình Học Lớp 12 Nâng Cao – Nguyễn Văn Lộc
Phân Loại Và Phương Pháp Giải Toán Hình Học Trong Mặt Phẳng – Lê Thị
Hương
Phương Pháp Giải Bài Tập Trắc Nghiệm Toán Tích Phân – Huỳnh Công Thái
Phương Pháp Giải Toán Đại Số Tổ Hợp 12 – Võ Giang Giai
Phương Pháp Giải Toán Giải Tích Tổ Hợp Và Xác Suất – Hà Văn Chương
Phương Pháp Giải Toán Hệ Thức Lượng Trong Tam Giác – Võ Giang Giai
Phương Pháp Giải Toán Hình Giải Tích Trong Không Gian – Trần Đức Huyên
Phương Pháp Giải Toán Hình Học Giải Tích Trong Không Gian – Lê Hồng
Đức
Phương Pháp Giải Toán Hình Học Không Gian Theo Chủ Đề – Trần Minh
Quang
Phương Pháp Giải Toán Lượng Giác – Nguyễn Cam
Phương Pháp Giải Toán Số Phức Và Ứng Dụng – Nguyễn Văn Dũng
Phương Pháp Giải Toán Tích Phân – Lê Hồng Đức
Phương Pháp Giải Toán Trắc Nghiệm Hình Học Giải Tích – Trần Bá Hà
Phương Pháp Giải Toán Tự Luận Hình Học Giải Tích 12 – Trần Thị Vân Anh
Phương Pháp Hàm Số Trong Giải Toán – Lê Xuân Sơn
Phương Pháp Trắc Nghiệm Hình Học Giải Tích 12 – Nguyễn Mộng Hy, Đậu Thế
Cấp
Phương Pháp Và Bài Giải 27 Chủ Đề Toán Hình Không Gian – Trần Minh
Quang

