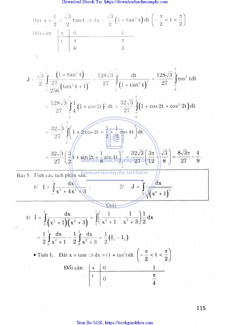
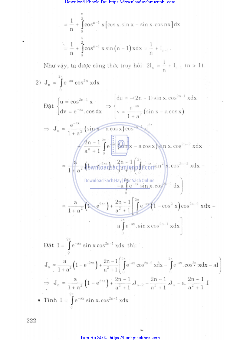
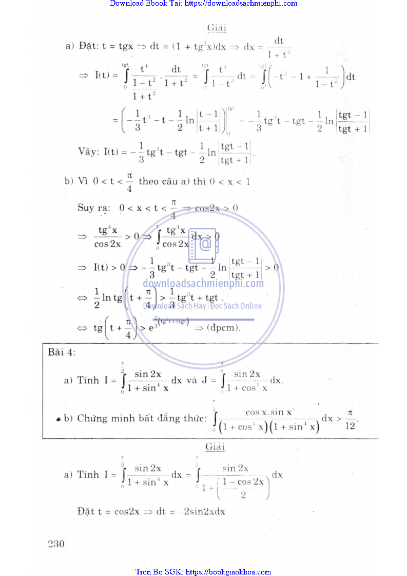
Phương Pháp Giải Bài Tập Trắc Nghiệm Toán Tích Phân – Huỳnh Công Thái
PHƯƠNG PHÁP 3. PHƯƠNG PHÁP TÍCH PHÂN TỪNG PHẦN



































































































































































DANH SÁCH CÁC CHƯƠNG LIÊN QUAN: (NHẤP VÀO ĐỂ XEM CHI TIẾT)
Phương Pháp Giải Bài Tập Trắc Nghiệm Toán Tích Phân – Huỳnh Công Thái
CHƯƠNG I. NGUYÊN HÀM – TÍCH PHÂN. TÍCH PHÂN XÁC ĐỊNH
- PHƯƠNG PHÁP 1. CÁC PHÉP BIẾN ĐỔI ĐẠI SỐ – LƯỢNG GIÁC
- PHƯƠNG PHÁP 2. ĐỔI BIẾN SỐ
- PHƯƠNG PHÁP 3. PHƯƠNG PHÁP TÍCH PHÂN TỪNG PHẦN
CHƯƠNG II. CÁC ỨNG DỤNG CỦA TÍCH PHÂN
BÀI VIẾT LIÊN QUAN: (NHẤP VÀO ĐỂ XEM CHI TIẾT)
Để Học Tốt Toán 12 – Ngô Long Hậu
Giải Bài Tập Giải Tích 12 – Nguyễn Vũ Thanh
Giải Bài Tập Giải Tích 12 Nâng Cao – Nguyễn Vũ Thanh
Giải Bài Tập Giải Tích Lớp 12 Chương Trình Chuẩn – Nguyễn Văn Lộc
Giải Bài Tập Giải Tích Lớp 12 Nâng Cao – Nguyễn Văn Lộc
Giải Bài Tập Hình Học 12 – Nguyễn Vũ Thanh
Giải Bài Tập Hình Học 12 Nâng Cao – Nguyễn Vũ Thanh
Giải Bài Tập Hình Học Lớp 12 Chương Trình Chuẩn – Nguyễn Văn Lộc
Giải Bài Tập Hình Học Lớp 12 Nâng Cao – Nguyễn Văn Lộc
Phân Loại Và Phương Pháp Giải Toán Hình Học Trong Mặt Phẳng – Lê Thị
Hương
Phương Pháp Giải Bài Tập Trắc Nghiệm Toán Tích Phân – Huỳnh Công Thái
Phương Pháp Giải Toán Đại Số Tổ Hợp 12 – Võ Giang Giai
Phương Pháp Giải Toán Giải Tích Tổ Hợp Và Xác Suất – Hà Văn Chương
Phương Pháp Giải Toán Hệ Thức Lượng Trong Tam Giác – Võ Giang Giai
Phương Pháp Giải Toán Hình Giải Tích Trong Không Gian – Trần Đức Huyên
Phương Pháp Giải Toán Hình Học Giải Tích Trong Không Gian – Lê Hồng
Đức
Phương Pháp Giải Toán Hình Học Không Gian Theo Chủ Đề – Trần Minh
Quang
Phương Pháp Giải Toán Lượng Giác – Nguyễn Cam
Phương Pháp Giải Toán Số Phức Và Ứng Dụng – Nguyễn Văn Dũng
Phương Pháp Giải Toán Tích Phân – Lê Hồng Đức
Phương Pháp Giải Toán Trắc Nghiệm Hình Học Giải Tích – Trần Bá Hà
Phương Pháp Giải Toán Tự Luận Hình Học Giải Tích 12 – Trần Thị Vân Anh
Phương Pháp Hàm Số Trong Giải Toán – Lê Xuân Sơn
Phương Pháp Trắc Nghiệm Hình Học Giải Tích 12 – Nguyễn Mộng Hy, Đậu Thế
Cấp
Phương Pháp Và Bài Giải 27 Chủ Đề Toán Hình Không Gian – Trần Minh
Quang

